Speed from Spectrograms

The last time I saw a graph like the one below was watching Ghost Adventures on Discovery+. However, it turns out a spectrogram is also useful for determining a vehicle’s speed using dashcam audio.

Spectrogram showing the frequency of the vibration generated by a vehicle's tires.

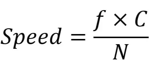
Henry Vega, et al., presented an incredible paper last month at SAE’s World Congress detailing the results of recent testing that showed the frequency of the vibration produced by a vehicle’s tires is directly proportional to its speed. A simple equation relates the two:

 
 

Where speed is in ft/s, f is the frequency of the vibration (Hz), C is the tire circumference (ft), and N is the number of tread blocks on the outer and inner ribs.

So, how does one go about establishing the tire frequency? Henry details the process in this SAE paper. In short, he takes the dashcam audio file into iZotope RX, applies a Fast Fourier Transform, and views the data as a spectrogram. The x-axis is time and the y-axis shows the captured frequencies and their strength, as color intensity.

With some knowledge about the subject tires and a little math, the tire’s frequency profile can be converted into a speed profile. Here’s the VBOX speed profile for the spectrogram above, for instance.

Unreal. An incredibly useful and simple method. Imagine having dashcam video of a crash where the environment has changed and you can’t perform traditional photogrammetry. Or a vehicle traveling down a really stark roadway, where photogrammetry might be really challenging or impossible. Or nighttime video, where key landmarks aren’t visible. Also, instead of capturing 5 to 30 frames per second, audio data is usually captured at 44,000 samples per second, offering even more detail. I’m excited to put this method into action.

There’s more to be done. At the time of publication, the method only worked on concrete roadways. Asphalt didn’t produce a distinct frequency profile. However, Henry and the team are putting in the work, and I’m honored to be helping him explore the behavior of motorcycle tires.

Hats off to Henry for discovering such a useful and novel method.

This is a fun industry. Keep exploring!

Lou Peck
Lightpoint | Axiom

P.S. Cool way to test Buss fuses. I gave it a go, it works.​

Previous
Previous

Interrogating Video Event Recorders

Next
Next

Telemetry Overlay